对于不同的边界条件,为了运算方便,就必须选择不同的自变量。例如,当边界条件为边界自由条件和短路条件时,以选应力张量X和电场强度E为自变量,应变张量x 和电位移D为因变量较方便,相应的压电方程组就是第一类压电方程组。
与其它各类边界条件相适应的自变量与压电方程组如下。
如果在测量上述z切割的钛酸钡晶片时,在晶片长度的两端被刚性夹具所夹住,即边界上应变x=0,应力X≠0;而且外电路的电阻远小于晶片内的电阻,在电极面上无电荷积累,即电压保持不变(或E=常数),电位移D¹常数。这时晶片的边界条件为机械夹持和电学短路条件。
在此边界条件下,以选应变张量x和电场强度E为自变量,应力张量X和电位移D为因变量较方便。相应的第二类压电方程组为:

式中:cE11=(
X1/
x1)E称为短路弹性刚度常数,是在外电路为短路的条件下,测得的弹性刚度常数;
E33=(
D3/
E3)x称为机械夹持介电常数,是在机械夹持条件下,测得的介电常数。
一般形式为:

矩阵形式为:

当边界条件为机械自由和电学开路的情况下,以选应力张量X和电位移D为自变量,应变张量x和电场强度E为因变量比较方便,相应的第三类压电方程组为:

式中:sD11=(
x1/
X1)D称为开路弹性顺服常数,是在外电路为开路的条件下,测得的弹性顺服常数;bX33=(
E3/
D3)X称为自由介电隔离率,它等于自由介电常数
X33的倒数,即bX33=1/
X33,是在机械自由条件下,测得的介电隔离率,或介电常数的倒数1/
X33。
g31称为第三类压电常数,也称压电电压常数。
它的意义为:g31=(
x1/
D3)X为在机械自由条件下,由于晶片沿z方向电位移D3的变化,引起沿x方向应变x1的变化与D3变化之比。
或者g31=-(
E3/
X1)D为开路条件下,由于沿x方向应力X1的变化,引起沿z方向电场强度E3的变化与X1变化之比,负号表示应力X1增加时,电场强度E3变小。
一般形式为:

矩阵形式为:

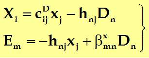
当边界条件为机械夹持和电学开路的情况下,以选应变张量x和电位移D为自变量,应力张量X和电场强度E为因变量比较方便,相应的第四类压电方程组:

式中:cD11=(
X1/
x1)D称为开路弹性刚度顺服常数,是在外电路为开路的条件下,测得的弹性劲度常数;
x33=(
E3/
D3)x称为夹持介电隔离率,它等于夹持介电常数
x33的倒数,即
x33=1/
x33,是在机械夹持条件下测得的介电隔离率,或介电常数的倒数1/
x33。
h31称为第四类压电常数(也称压电刚度常数)。
它的物理意义为:g31=-(
X1/
D3)x为在机械夹持条件下,由于沿z方向电位移D3的变化,引起沿x方向应力X1的变化与D3变化之比,负号表示电位移D3增加时,应力X1变小。
或者h31=-(
E3/
x1)D为电学开路条件下,由于沿x方向应变x1的变化,引起沿z方向电场强度E3的变化与x1变化之比,负号表示应变x1增加时,电场强度E3变小。
一般形式为:

矩阵形式为:


