最后得到钛酸钡晶体zx切割晶片的压电方程为(以应力X和电场强度E为自变量):

上被称为第一类压电方程组。
注意:电位移只是来自电场的贡献;介电常数也与力学量有关;机电耦合
一般形式为:

矩阵形式为:

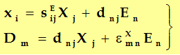
这个方程组的特点:在于以应力X、电场强度E为自变量,应变x、电位移D为因变量;即认为应变x、电位移D的变化是由应力X、电场E变化引起的。式中还包括了短路弹性柔顺常数sE11,自由介电常数eX33以及压电常数d31。
通常测量样品的频率特性(谐振频率和反谐振频率)时,晶片的中心被夹住,晶片的边界却处于机械自由状态。这时边界上的应力X|边界=0,应变x≠0,这样的边界称为机械自由边界条件,或称边界自由条件。
但是应该注意:边界自由条件只表示样品在边界上的应力为零,样品内的应力一般情况下并不等于零,只有在低频情况下,样品内的应力才接近于零,所以在边界自由和低频的条件下,测得的介电常数才是(机械)自由介电常数
X33。
若测量电路的电阻远大于晶片的内电阻,则可认为外电路处于开路状态,这时电极面上自由电荷保持不变,样品内的电位移D为常数(或D=0)。这样的电学边界条件称为(电学)开路边界条件,简称开路条件。在开路条件下测得的弹性柔顺常数才是开路弹性顺服常数sDij。
BC: boundary conditions
四类边界条件:
机械边界条件有两种,即:
边界自由条件, 边界夹持条件;
Free and Clamped mechanical BC
电学边界条件也有两种,即:
短路条件, 开路条件;
Short and Open electrical BC
从二种机械边界条件和二种电学边界条件中各选一种,就可组成四类不同的边界条件:
(1)机械自由和电学短路条件;
(2)机械夹持和电学短路条件;
(3)机械自由和电学开路条件;
(4)机械夹持和电学开路条件。

