
◎ 形变:
◎ 在外力作用下,物体的大小和形状都要发生变化,通常称为形变。
◎ 当讨论物体的转动和移动时,形变对运动物体的影响很小,是次要问题,一般可以忽略不计。
◎ 当讨论振动的传播或压电效应等问题时,形变就成了重要问题,需要进行深入的讨论和研究。
◎ 塑性和弹性:
◎ 如果外力撤消后,物体不能恢复原状,这种性质就称为物体的塑性;如果外力撤消后,物体能恢复原状,这种性质就称为物体的弹性。
◎ 自然界不存在完全的弹性体,也不存在完全的塑性体;只存在既有弹性又有塑性的物体。当外力较小时,形变也小,外力撤消后,形变消失,物体恢复原状;当外力较大时,外力撤消后,物体不能恢复原状。可见物体的弹性有一定的限度,超过这个限度就成为塑性。与压电有关的问题,都属于弹性范围内的问题。
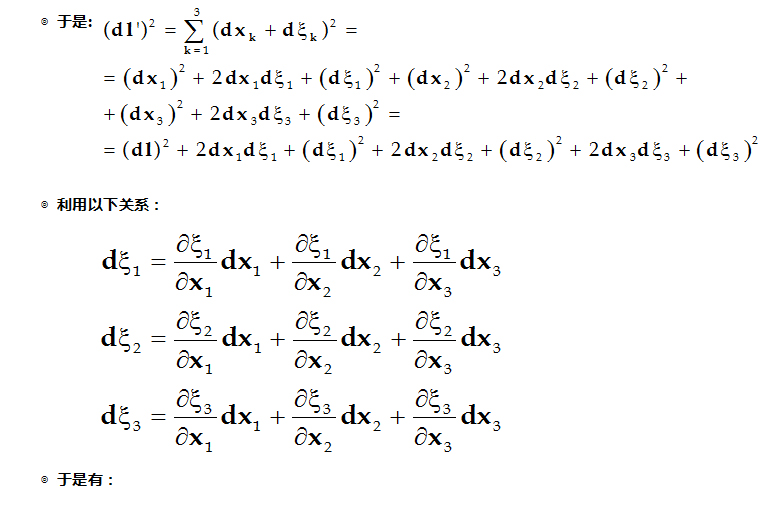
◎ 应力、应变
◎ 应变张量: strain tensor
◎ 晶体中任一点的位置可以用所选定的坐标系的位置矢量来描述,它的三个分量为x1、x2、x3。当晶体发生形变时,其中每一点的位置均会发生改变。设形变前的某一点的位置矢量为
r,形变后为r’(其分量为x’1、x’2、x’3),由于形变这一点的位移可以用位置矢量来表示:

◎
当晶体形变时,晶体内任意两点间的距离都会发生变化,设最近邻的两点形变前的距离为dl(分量为dxi),形变后的距离为dl’(分量为dx’i),因为dx’i=dxi+dξi,而





二级对称的张量,有六个独立元素。
如果用x、y、z代表位置矢量r的三个分量;u、v、w代表位移矢量x的三个分量;那么这六个张量元可写成为:

由形变引起的体积相对增量称为体膨胀为:

由于切变A→A’, B→B’, C→C’, D→D’,图中u、v代表A点位移的分量,令: AD=A’D’=△x,AB=A’B’=△y,则:

所以exy=(∂v/∂x+∂u/∂y)/2=(θ1+θ2)/2
这种在固体形变时,作用在固体中单位面积上的力称为应力。应力是一个二级张量,其各个分量为σxx、σyy、σzz、σyz、σzy、σxy、σyx、σxz、σzx。为此我们也把应力称为应力张量。张量元的前一个足标代表应力的方向,后一个足标代表应力所作用面的法线方向。

