目录

  • 1 第一章 函数与极限
    • 1.1 第一节 映射与函数
    • 1.2 第二节 数列的极限
    • 1.3 第三节 函数的极限
    • 1.4 第四节 函数的连续性
    • 1.5 第五节 极限存在的准则及两个重要极限
    • 1.6 第六节 无穷小量及其比较
    • 1.7 第一章测验
  • 2 第二章 导数与微分
    • 2.1 第一节 导数的概念
    • 2.2 第二节 求导法则与高阶导数
    • 2.3 第三节 隐函数与参变量函数的导数
    • 2.4 第四节 微分
    • 2.5 第二章测验
  • 3 第三章 微分中值定理与导数的应用
    • 3.1 第一节 微分中值定理
    • 3.2 第二节 洛必达法则
    • 3.3 第三节 泰勒公式
    • 3.4 第四节 函数的单调性与极值
    • 3.5 第五节 函数图像的描绘
    • 3.6 第三章测验
  • 4 第四章 不定积分
    • 4.1 第一节 不定积分概念
    • 4.2 第二节 换元积分法与分部积分法
    • 4.3 第三节 有理函数的积分
    • 4.4 小结
  • 5 第五章 定积分
    • 5.1 第一节 定积分的概念与性质
    • 5.2 第二节 牛顿-莱布尼茨公式与微积分学基本定理
    • 5.3 第三节 定积分的换元法与分部积分法
    • 5.4 第四节 平面曲线的弧长与曲率
    • 5.5 第五节 定积分的几何应用
    • 5.6 第六节 定积分的物理应用
    • 5.7 第七节 反常积分与γ函数
    • 5.8 第五章测验
  • 6 第六章 微分方程
    • 6.1 第一节 微分方程的基本概念
    • 6.2 第二节 一阶线性微分方程
    • 6.3 第三节 可降阶的高阶微分方程
    • 6.4 第四节 线性微分方程解的结构
    • 6.5 第五节 二阶常系数线性微分方程
    • 6.6 第六章测验
  • 7 第七章 向量代数与空间解析几何
    • 7.1 第一节 空间直角坐标系
    • 7.2 第二节 向量及其线性运算
    • 7.3 第三节 向量的数量积与向量积
    • 7.4 第四节 平面的方程
    • 7.5 第五节 空间直线的方程
    • 7.6 第六节 常见曲面的方程
    • 7.7 第七节 空间曲线
    • 7.8 第七章测验
第三节 泰勒公式
  • 课程学习



  • 重要知识点

一、泰勒公式的建立

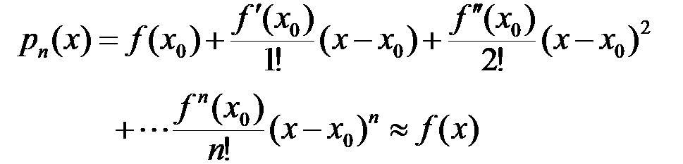
1. 泰勒公式的建立 

      

2、泰勒多项式

       

3.泰勒定理

         

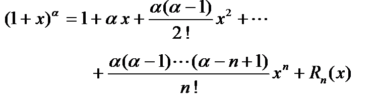
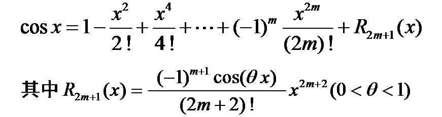
二、几个初等函数的麦克劳林公式

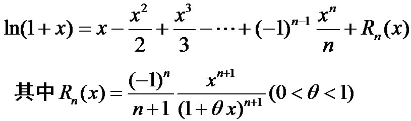
1. 

  

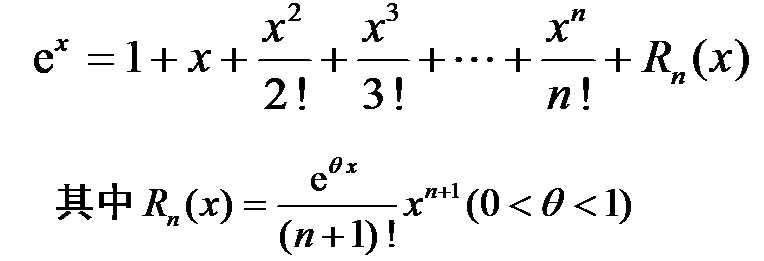
2.

    

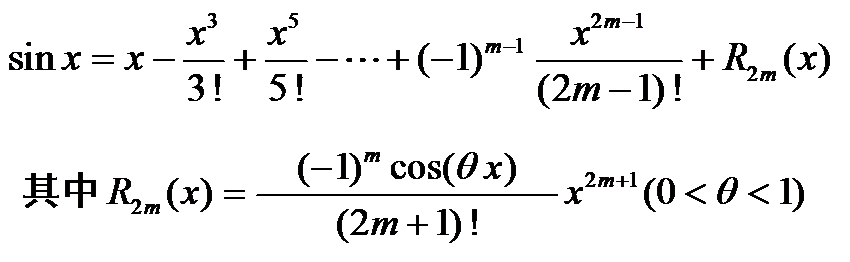
3.

    

4.

     

5.

         

三、泰勒公式的应用

1. 近似计算

2. 利用多项式逼近函数

3. 其他应用——求极限,证明不等式等


  • 思考

思考题1

       

思考题2

         

          

思考题3

          

  • 知识拓展

泰勒公式的求法

泰勒公式的若干应用