第四节 微分
上一节
下一节
第四节 微分
课程学习
重要知识点
一、微分的概念
1. 微分的定义
(1)定义

(2)注意

2. 可微与可导的关系

二、微分的几何意义

三、微分公式



四、复合函数的微分法则

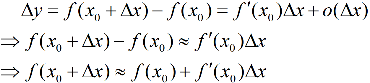
五、微分在近似计算中的应用

六、小结

思考题

知识拓展

