第二节 求导法则与高阶导数
-
1 2.2(1)
-
2 2.2(2)
上一节
下一节
第二节 求导法则与高阶导数(1)
课程学习
重要知识点
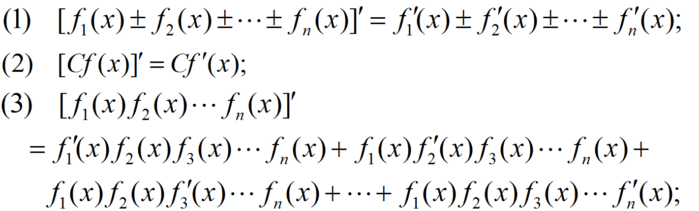
一、和、差、积、商的求导法则
1. 定理

2. 推论

二、反函数的求导法则
1. 定理

知识拓展








