第五节 极限存在的准则及两个重要极限
-
1 1.5(1)
-
2 1.5(2)
-
3 1.5(3)
上一节
下一节
第五节 极限存在的准则及两个重要极限(1)
课程学习
重要知识点
一、函数极限存在的夹逼准则
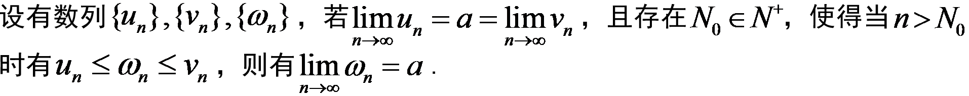
1. 定理 1.27

2. 定理 1.28

二、重要极限

1. 推论 1(广义重要极限)

2. 推论 2

知识拓展







