第三节 函数的极限
-
1 1.3(1)
-
2 1.3(2)
-
3 1.3(3)
-
4 1.3(4)
上一节
下一节
第三节 函数的极限(1)
课程学习
重要知识点
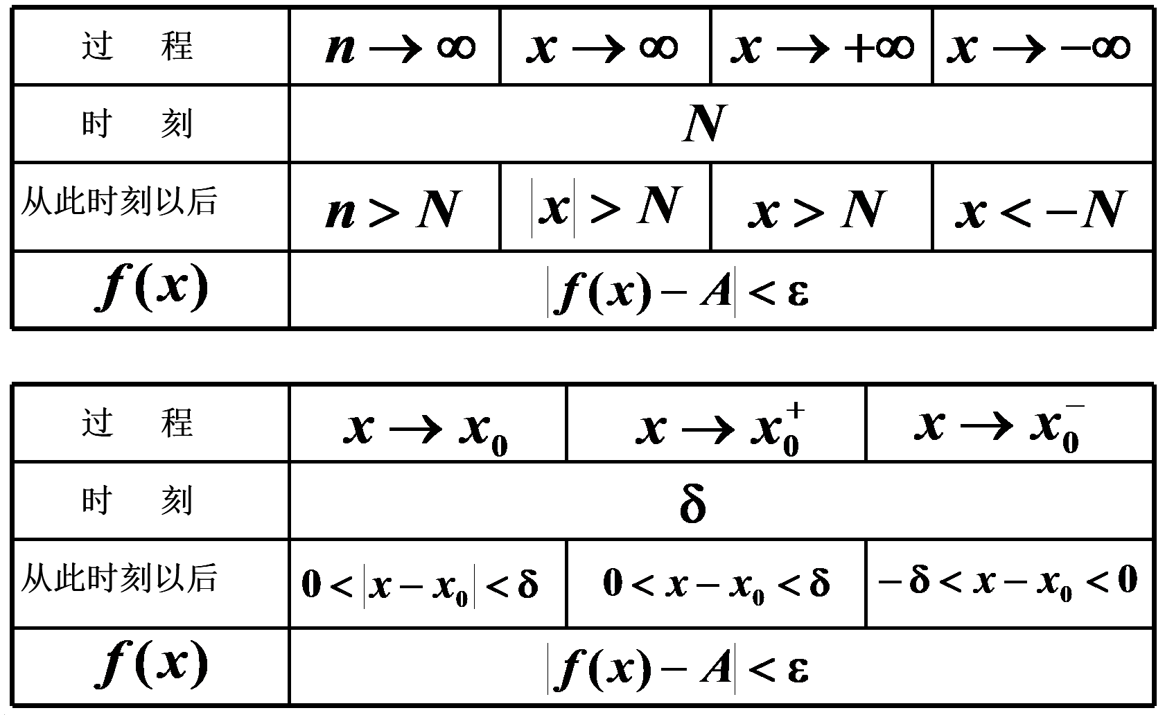
一、x→x0时函数的极限
1. 定义 1.9

2. 几何解释

3. 单边极限



知识拓展













