第六节 无穷小量及其比较
-
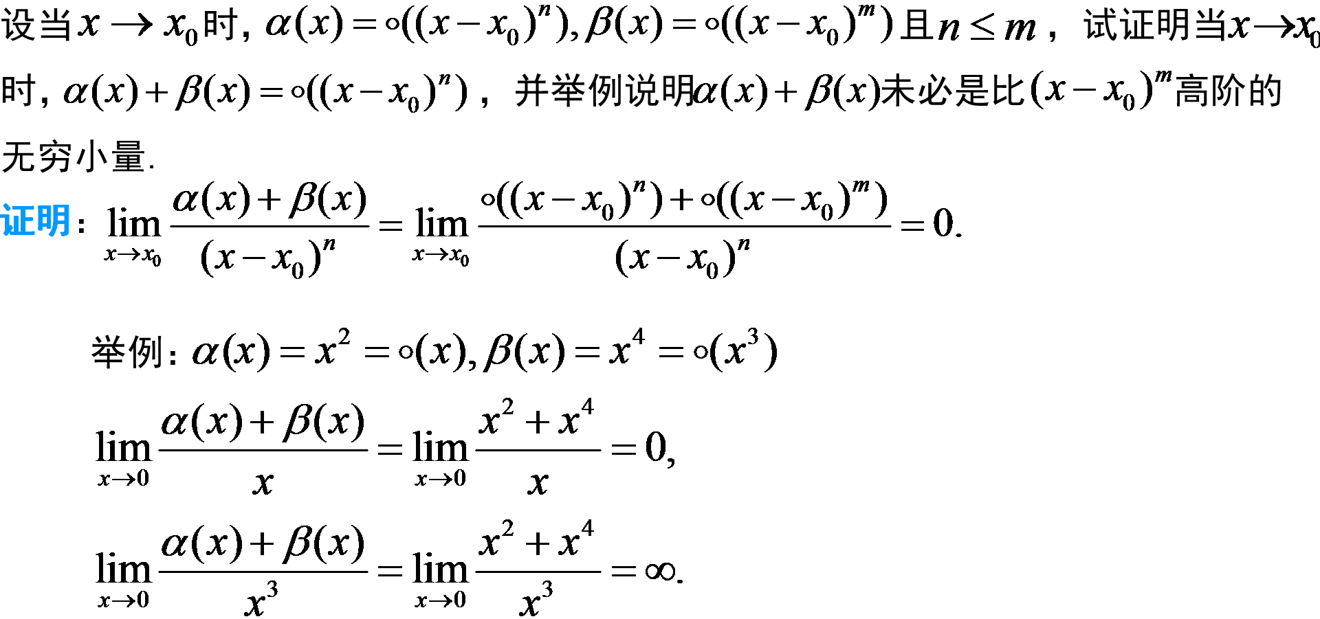
1 1.6(1)
-
2 1.6(2)
上一节
下一节
第六节 无穷小量及其比较(1)
课程学习
重要知识点
一、无穷小量
1. 定义 1.16

注:

2. 无穷小量的性质


推论:常数与无穷小量的乘积是无穷小量.
二、无穷小的比较
1. 定义 1.17

2. 常用等价无穷小

思考题

知识拓展





