气相色谱中常用术语和参数
上一节
下一节
气相色谱中常用术语和参数
★ 区域宽度
色谱峰的区域宽度是组分在色谱柱中谱带扩张的函数,它反映了色谱操作条件的动力学因素。区域宽度有三种表示方法:
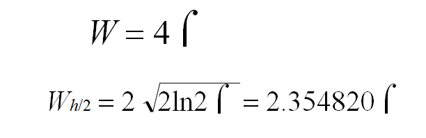
(1)半峰宽(peak width at half height)(Wh/2)
(2)峰宽(peak width)(W)
(3)标准偏差(σ) 即0.607倍峰高处的色谱峰宽的一半。
在这三种表示方法中以前两者使用较多,三者的关系是:



