液相色谱中常用术语和参数
上一节
下一节
液相色谱中常用术语和参数
色谱图和保留值
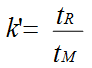
在高效液相色谱中容量因子用k’表示,如下式:

在高效液相色谱中一些独有的参数:
(1)粒间体积(interstitial volume)(Vo ) 色谱柱填充剂颗粒间隙中流动相所占有的体积。
(2)(多孔填充剂的)孔体积(pore volume[of porous packing])(Vp)色谱柱中多孔填充剂的所有孔洞中流动相所占有的体积。
(3)柱外体积(extra-columnvolume)(Vext)从进样系统到检测器之间色谱柱以外的液路部分中流动相所占有的体积。
(4)液体总体积(total liquid volume)(Vtot)粒间体积,孔体积和柱外体积之和。
![]()
(5)淋洗体积(Emlution volume)(V)从进样开始计算的通过色谱柱的实际淋洗体积。

