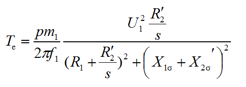
转矩——转差率特性
-
1 教学课程
-
2 作业
上一节
下一节
![]()

目录
![]()
