-
1 教学课程
-
2 作业
![]()
笼型转子可以看作为一种特殊的多相绕组。如前所述,笼型转子的极数取决于气隙磁场的极数。

笼型转子两根相邻导条中感应电动势的相位差即为两根导条之间空间电角度差,若转子总导条数为 ,则两相邻导条中感应电动势的位差为
![]() | (4-7-1) |
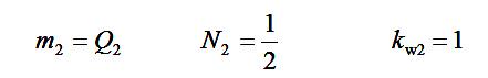
这样,可以把笼型绕组看作为 相的对称多相绕组,每一相只有一根导条,其匝数为1/2,绕组的绕组因数
,总之,对笼型转子有
![]() |
(4-7-2) |
于是笼型转子的电压比 ,电流比
和阻抗归算系数
为
![]() |
(4-7-3) |

笼型绕组端环也是转子电路的一部分,故计算转子每相电阻 时,也应计入端环电阻。由于端环与导条中电流不同,因此应把端环电阻归算为等效的导条上的附加电阻。
图4-7-1(a)中画出了端环电流相量图,各端环电流大小相等,互相间相位差 ,按图4-1-1(a)指定的正方向,导条电流
为两端环电流相量
终端连线构成的相量,由图4-7-1(b)相量图可求出导条与端环电流的关系为
![]() | (4-7-4) |

图4-7-1 端环和导条电流
(a)电流参考方向 (b)相量图
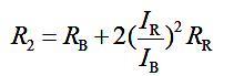
仍然按归算前后功率保持不变的原则,把端环电阻折入导条中。若转子每相电阻为 ,导条电阻为
,两端环电阻为
,可得
| (4-7-5) |
即
![]() |
考虑式(4-7-4)可写成
![]() | (4-7-6) |
用类似的方法归算端环漏抗,得出笼型转子漏抗为
![]() | (4-7-7) |
式中 ,
分别为导条和端环的漏电抗。








