三相感应电机的功率方程和转矩方程
-
1 教学课程
-
2 作业
上一节
下一节
![]()
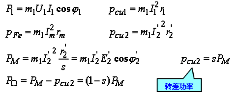
在T型等值电路图中利用电流通过各种电阻时的损耗表示:


![]()


