三相感应电机的基本方程和等效电路
-
1 教学课程
-
2 作业
上一节
下一节
![]()
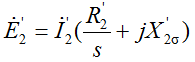
经过频率归算和绕组归算,已把旋转的感应电机等效为原、副边绕组匝数完全相同且带有负载的变压器。基本方程有定、转子回路电压方程和磁动势方程构成,由式(4-3-10)、(4-4-9)、(4-2-3)和(4-3-9)分别整理为
(4-4-10) | |
(4-4-11) | |
| (4-4-12) | |
| (4-4-13) |
![]()



