三相感应电机的负载运行
上一节
下一节
![]()
负载运行时,感应电动机将以低于同步转速ns的转速n旋转,其转向则仍与气隙旋转磁场的转向相同,因此,气隙磁动势与转子的相对转速为。
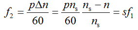
也就是气隙旋转磁场切割转子绕组的速度,于是在转子绕组中感应出电动势,产生电流,其频率为
![]()
负载运行时,除了定子电流产生一个定子磁动势F1外,转子电流还产生一个转子磁动势F2,而总的气隙磁动势则是F1与F2的合成。
关于定子磁动势F1在第十章中已作了分析,为了进一步了解电动机负载时的情况,还必须对转子磁动势F2加以说明。

