定子绕组电压方程
-
1 教学课程
-
2 作业
上一节
下一节
![]()
和隐极电机情况相似,漏磁场在电枢绕组中感应电动势
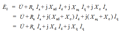
,电枢绕组电阻压降为
,若定子绕组端电压为
,则定子绕组电压方程可表示为
![]()
整理后有


