同步发电机的电磁功率
-
1 教学课程
-
2 作业
上一节
下一节
![]()
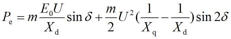
凸极同步电机电动势相量图:

公式:

其中
| ——为基本电磁功率 |
![]() | ——为附加电磁功率,在数值上基本 电磁功率远大于附加电磁功率。 |
![]()



