同步发电机的转矩方程
-
1 教学课程
-
2 作业
上一节
下一节
![]()
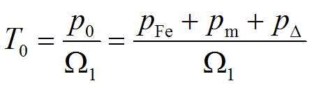
同步发电机运行时,作用在转子上的转矩有原动机的驱动转矩 ,发电机的空载制动转矩和电磁制动转矩,由功率关系可以得到 :

其中



