变压器的归算
-
1 教学课程
-
2 作业
上一节
下一节
![]()
所谓归算法就是把各绕组的匝数变换成相同匝数的方法。在归算时不改变变压器原有的电磁关系和电磁过程,也就是说,归算前后的磁平衡关系、功率传递、损耗和漏磁场储能等均应保持不变。
作用:减少计算时的麻烦,得出等效电路和相量图。
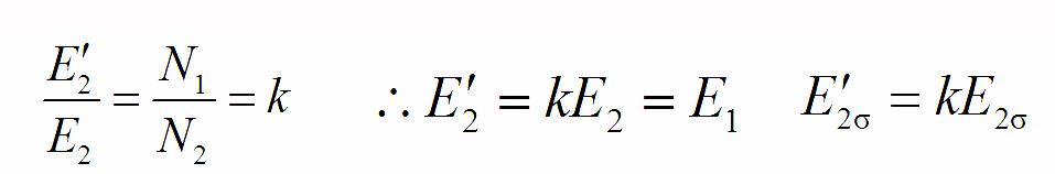
一般,把二次绕组向一次绕组归算,则 。

归算前后二次绕组的磁动势不能改变,即


在归算前后,作用在磁路上的磁动势没有改变,因此主磁通不会改变,感应电动势与匝数成正比,即


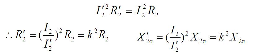
根据功率不变的原则,归算前后二次绕组输出的视在功率也不应该改变,即
根据归算前后的损耗不变原则,可得

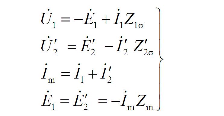
归算以后变压器的基本方程组为




