变压器的电压变化率和效率
-
1 教学课程
-
2 作业
上一节
下一节
![]()
电压变化率和效率是变压器的主要运行性能指标。

在一次绕组电压保持为额定、负载功率因数为常值时,空载与负载时二次绕组相电压的代数差与二次绕组额定相电压的比值称为变压器的电压变化率。

电压变化率与变压器的参数和负载的大小、性质有关。


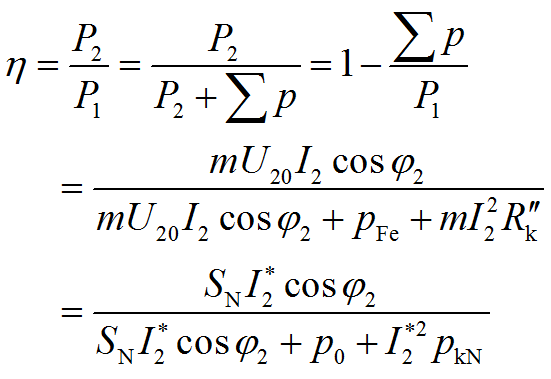
变压器的效率是指变压器的输出功率与输入功率的比值,即
变压器效率达到最大值时的条件:
或
,

