标幺值
-
1 教学课程
-
2 作业
上一节
下一节
![]()
标幺值也称为相对值,是同单位的实际物理量与其基值之比。

基值用下角标“b”表示,标幺值用上角标“*”表示。
标幺值乘以100%,便得百分值。
![]()
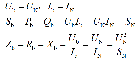
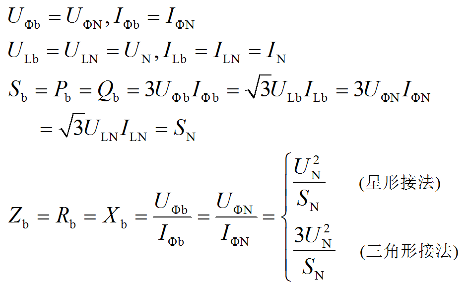
在变压器和电机的工程计算中,通常选定额定值作为基值。
对于单相系统

对于三相系统


