各类有机物具有的官能团和性质 例题解析
上一节
下一节
例题解析
| A.一定条件下,Cl2可在甲苯的苯环或侧链上发生取代反应。 |
| B.苯酚钠溶液中通入CO2生成苯酚,则碳酸的酸性比苯酚弱。 |
| C.乙烷和丙烯的物质的量各1mol,完成燃烧生成3molH2O。 |
| D.光照下2,2—二甲基丙烷与Br2反应其一溴取代物只有一种。 |
答案:B
| A.乙酸分子中含有羧基,可与NaHCO3溶液反应生成CO2。 |
| B.溴乙烷可以在NaOH溶液中发生消去反应。 |
| C.甲烷与氯气反应生成一氯甲烷与苯和硝酸反应生成硝基苯的反应类型相同。 |
| D.苯不能使溴的四氯化碳溶液褪色,说明苯分子中没有与乙烯分子中类似的碳碳双键。 |
【解析】
可由苯和甲烷的性质确认,A对;苯酚有弱酸性,比碳酸的酸性弱,比HCO3-的酸性强
CO2 + H2O + C6H5ONa → C6H5OH + NaHCO3,B错;由乙烷和丙烯的化学式C2H6、C2H4中H原子数可知各1mol
完全燃烧生成5molH2O,C对;由甲烷的卤代反应,推导2,2—二甲基丙烷也可发生卤代,由于该烃结构完全
对称,故一溴代物只有一种,D对。
【答案】B
![]() |
| (1)在空气中久置,A由无色转变为棕色,其原因是 _____________ 。 |
| (2)C分子中有2个含氧官能团,分别为 ____________ 和 ____________ (填官能团名称)。 |
| (3)BC的反应类型为 ______________ 。 |
答案:(1)A被空气中的O2氧化
(2)羧基 醚键
(3)取代反应
(有机物A的结构简式) |
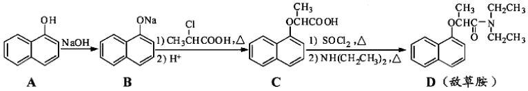
![]() |
| (1)B中的含氧官能团名称是 __________________ 。 |
(2)A→C的反应类型是 ______________ ;A~D中互为同分异构体的是 ________________ 。 |
| (3)由A生成B的化学方程式是 __________________ 。 |
| (4)C在一定条件下发生加聚反应的化学方程式是 _____________________ 。 |
答案: (1)醛基、羧基 (2)消去反应 C D (3) (4)







