氧在体内主要经血液携带运输,临床上可通过血气分析测定血氧指标,反映组织的供氧和用氧情况。
组织的供氧量=动脉血氧含量×组织血流量。
组织耗氧量=(动脉血氧含量-静脉血氧含量)×组织血流量。
常用的血氧指标有血氧分压、血氧容量、血氧含量和血氧饱和度等。
1. 血氧分压
血氧分压( partial pressure of oxygen,PO2 )为物理溶解于血液中的氧所产生的张力,又称血氧张力。
动脉血氧分压( PaO2)正常约为100mmHg,其高低主要取决于吸入气的氧分压和肺的通气与弥散功能。
静脉血氧分压(PvO2)正常约为40mmHg,其变化反映组织、细胞对氧的摄取和利用状态。
2. 血氧容量
血氧容量( oxygen binding capacity ,CO2max)是指在氧分压为150mmHg,二氧化碳分压为40mmHg,温度为38℃时,在体外100ml血液中的血红蛋白(Hb)所能结合的氧量,即Hb充分氧合后的最大携氧量,取决于血液中Hb的含量及其与O2结合的能力。
1g Hb充分氧合时可结合1.34ml氧,正常成人Hb为15g/dl,血氧容量为20ml/dl。
3. 血氧含量
血氧含量(oxygencontent,CO2)为100ml血液中实际含有的氧量,包括物理溶解的和化学结合的氧量。因正常时物理溶解的氧量仅为0.3m/dl,可忽略不计。
血氧含量反映单位容积血液实际携氧量,取决于血氧分压和血氧容量。
正常动脉血氧含量(CaO2)约为19ml/dl,静脉血氧含量(CvO2)约为14ml/dl。动静脉氧含量差(CaO2-CvO2 )反映组织的摄氧能力,正常时约为5m/dl。
4. 血红蛋白氧饱和度
血红蛋白氧饱和度( oxygen saturation of hemoglobin, SO2),简称血氧饱和度,是指血液中氧合Hb占总Hb的百分数,约等于血氧含量与血氧容量的比值。
正常动脉血氧饱和度(SaO2)为95% ~ 98%,静脉血氧饱和度(SvO2)为70% -75%。
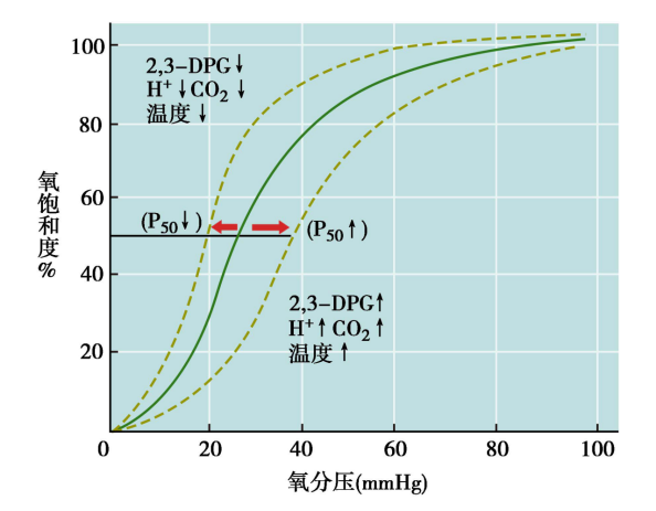
SO2 主要取决于PO2,两者之间的关系曲线呈“S”形,称为氧合Hb解离曲线,简称氧离曲线。

除PO2之外,SO2还与血液pH、温度、CO2分压,以及红细胞内2,3-二磷酸甘油酸(2 ,3-DPG)的含量有关。
血液pH下降、温度升高、CO2分压升高或红细胞内2,3-DPG增多时,Hb与氧的亲和力降低,氧离曲线右移;
反之,氧离曲线左移,表示Hb与氧的亲和力增高。
Hb与氧的亲和力可用P50来反映,它是指血红蛋白氧饱和度为50%时的血氧分压,正常为26 ~27mmHg。
P50增大反映Hb与氧的亲和力降低,反之,Hb与氧的亲和力增高。

