尽管机体在正常情况下不断生成和摄取酸和碱性物质,但血液pH却不发生明显的变化,这是由于机体对酸碱负荷有强大的缓冲能力和有效的调节功能,保持了酸碱的稳态。
机体对酸碱平衡的调节主要通过体液的缓冲、肺及组织细胞和肾的调节来维持。
1. 血液的缓冲作用
缓冲是酸性物质或碱性物质负荷过重时候的第一道防线,
血液的缓冲系统主要有五种:碳酸氢盐缓冲系统、磷酸盐缓冲系统、血浆蛋白缓冲系统、血红蛋白和氧合血红蛋白缓冲系统

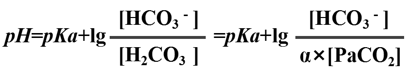
(1)碳酸氢盐缓冲系统
血液缓冲系统中以碳酸氢盐缓冲系统最为重要。pH或H+浓度取决于HCO3-和H2CO3的比值。
特点:
缓冲能力强,是细胞外液含量最多的缓冲系统,含量占血液缓冲总量的1/2以上;
可进行开放性调节:碳酸能转变为CO2,将血液的缓冲调节与呼吸调节联系在一起,HCO3-能通过肾调节,由此与肾脏调节联为一体;
可缓冲所有的固定酸,但是不能缓挥发酸。

(2)磷酸盐缓冲系统
主要存在与细胞内外液中,主要在细胞内液和肾小管中发挥缓冲作用,包括血浆的Na2HPO4/NaH2PO4 和细胞内的K2HPO4/KH2PO4。
(3)蛋白质缓冲系统
主要存在与血浆和红细胞内,包括Pr- /HPr、Hb-/HHb、HbO2-/HHbO2
在各缓冲系统中:
挥发酸的缓冲主要靠非碳酸氢盐缓冲系统,尤其是Hb和HbO2缓冲系统;
固定酸和碱能被所有缓冲系统所缓冲,尤其是碳酸氢盐缓冲系统。

2. 肺的调节作用
肺在酸碱平衡中的作用是通过改变CO2的排出量来调节血浆碳酸(挥发酸)浓度,使血浆中HCO3-与H2CO3的比值接近正常,以保持pH相对恒定。

特点:作用快,代偿能力强,但是不能持久。
呼吸运动的调节中枢在延髓,呼吸中枢接受来自中枢化学感受器、外周化学感受器的刺激。
(1)中枢调节:呼吸中枢化学感受器对PaCO2(动脉血CO2分压)变动非常敏感,但是PaCO2并不是直接刺激中枢化学感受器,而是通过改变脑脊液和脑间质液中的pH,使H+增加,刺激中枢化学感受器,从而兴奋呼吸中枢,明显增加肺的通气量;特别注意的是—这种调节并不是无限制的,正常PaCO2为40mmHg,,如果PaCO2增加为42mmHg,就可以刺激中枢化学感受器,增加肺通气量,从而降低血中H2CO3浓度,实现反馈调节。
但是如果PaCO2增加到80mmHg以上,则对呼吸中枢产生抑制作用—这被称为二氧化碳麻醉。
(2)外周调节:PaO2↓、pH↓、PaCO2↑,刺激外周化学感受器(位于颈动脉体和主动脉体),引起呼吸加深加快,增加CO2排出量。
但是PaO2过低(<30mmHg)对呼吸中枢的直接效应是抑制效应。
3. 组织细胞的调节作用
细胞的缓冲作用,主要是通过离子交换进行的,如:H+-K+、H+-Na+、Na+-K+、Cl--HCO3-交换,血细胞、肌细胞、骨细胞等均能通过细胞内外离子的交换发挥缓冲作用。
特点:细胞内液缓冲系统约在3~4小时开始发挥调节作用,其缓冲作用强于细胞外液,但由于它通过细胞内、外离子交换来维持酸碱平衡,故常引起血钾和血氯浓度的改变。
4. 肾的调节作用
机体在代谢过程中产生大量的酸性物质,这些酸性物质,尤其是固定酸,需要依靠肾脏排出。
肾脏通过近曲小管重吸收NaHCO3、远曲小管和集合管泌H+和重吸收NaHCO3、以及排氨来调节pH使之相对恒定。
NaHCO3的重吸收又可分近曲小管和远曲肾小管对NaHCO3的重吸收。近曲小管是通过Na+-H+交换分泌H+,但是远曲小管和集合管是通过闰细胞分泌H+,这是一种非Na+依赖性的泌氢。另外经基侧膜重吸收HCO3-的方式也不同—在近曲小管大部分经过基侧膜的Na+- HCO3-载体进入血液,小部分经过Cl-- HCO3-逆向转运方式发生跨膜交换进入细胞间隙;在远曲小管基侧膜以Cl-- HCO3-交换方式重吸收(这被称为远端酸化作用)。
通过磷酸盐酸化和泌氨生成新的NaHCO3回流入血,以补充机体对NaHCO3的消耗。如果体内HCO3-含量过高,肾脏可减少NaHCO3的生成和重吸收,以维持血液HCO3-浓度的相对恒定。
酸碱平衡调节的协调与配合
体液缓冲系统、肺和肾相互配合、相互补充,共同维持NaHCO3/H2CO3的比值为20:1,维持体液酸碱度的相对恒定。四者在作用时间、作用程度上各有特点:
细胞外液缓冲系统反应最迅速,一旦有酸性或碱性物质入血,就立即与其反应,将强酸、强碱转变为弱酸、弱碱,但因缓冲系统自身亦被消耗,故作用不易持久。
肺的调节作用亦很迅速,几分钟内就开始发挥作用,通过改变肺泡通气量来调节CO2排出量,控制血浆碳酸浓度的高低,但它对固定酸无缓冲作用。
细胞内液缓冲系统约在3~4小时开始发挥调节作用,其缓冲作用强于细胞外液,但由于它通过细胞内、外离子交换来维持酸碱平衡,故常引起血钾和血氯浓度的改变。
肾的调节作用比较缓慢,常在数小时后才开始发挥作用,但作用强大而持久,3~5天时代偿作用最为明显。固定酸的排出和HCO3-含量的恢复最终要靠肾来完成。

