酸碱的概念及酸碱物质的来源
上一节
下一节
1. 酸碱的概念
在化学反应中,能释放H+的化学物质称为酸,能接受H+的化学物质称为碱。

2. 体液酸碱物质的来源
(1)体内的酸性物质主要是细胞在代谢过程中产生的,少量来自食物。可分为挥发酸和固定酸。
挥发酸,即由糖、脂肪和蛋白质氧化分解产生的CO2与H2O结合生成的H2CO3,它是体内酸性物质的最主要来源,可转变成CO2气体经肺排出体外;
![]()
固定酸,包括磷酸、硫酸和有机酸等,不能经肺呼出,需经肾随尿排出。一般情况下,蛋白质分解代谢是固定酸的主要来源。
(2)体液中的碱性物质主要来自蔬菜、水果类食物中有机酸盐(例如柠檬酸盐、苹果酸盐、草酸盐)代谢生成的碳酸氢盐,及体内氨基酸代谢时脱氨基所产生的氨。
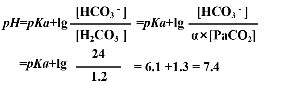
机体代谢的酸的量远大于碱,但是,机体处于弱碱性的酸碱平衡状态中(正常人动脉血pH范围为7.35 ~ 7.45),这是由于机体会通过体液的缓冲、肺、组织细胞和肾的调节来维持酸碱平衡。
Henderson-Hasselbalch方程


