列联表中的相关测量
-
1 φ相关系数
-
2 C相关系数
-
3 V 相关系数
-
4 例题解析
上一节
下一节
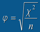
φ相关系数(correlation coefficient):是描述2×2列联表数据相关程度最常用的相关系数。
它的计算公式为: 








