两个总体参数检验
-
1 学习目标
-
2 主要内容
-
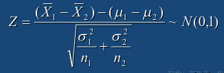
3 核心公式
-
4 章节测验
上一节
下一节
了解两个总体参数检验原理。
1.了解两个总体参数检验统计量。













