离散趋势度量
-
1 学习目标
-
2 主要内容
-
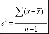
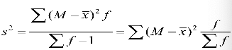
3 核心公式
-
4 章节测验
-
5 视频
上一节
下一节
1.掌握离散程度各测度值的计算方法。
2.掌握离散程度各测度值的特点及应用场合。





