目录

  • 1 第一章 绪论与化学基本知识
    • 1.1 要点
    • 1.2 绪论PPT
    • 1.3 课程大纲、教学日历
    • 1.4 化学基本知识教学内容-PDF
    • 1.5 化学基本知识教学内容-PDF习题答案
  • 2 第二章 气体与溶液
    • 2.1 要点
    • 2.2 气体与溶液PPT
    • 2.3 气体与溶液教学内容PDF
    • 2.4 气体与溶液教学内容PDF习题答案
    • 2.5 气体与溶液视频资料
    • 2.6 气体与溶液作业
      • 2.6.1 气体与溶液章节测验
    • 2.7 气体与溶液复习内容视频讲解
  • 3 第三章 物质结构基础知识
    • 3.1 要点
    • 3.2 物质结构基础PPT1
    • 3.3 物质结构基础PPT2
    • 3.4 物质结构基础教学内容PDF
    • 3.5 物质结构基础教学内容PDF习题答案
    • 3.6 物质结构重难点视频
    • 3.7 物质结构学习超星视频资料-1
    • 3.8 物质结构学习超星视频资料-2
    • 3.9 物质结构基础作业
    • 3.10 物质结构基础章节测验
    • 3.11 物质结构基础重难点总结-1
    • 3.12 物质结构基础重难点总结-2
  • 4 第四章 化学反应的一般原理
    • 4.1 要点
    • 4.2 化学反应的一般原理PPT1
    • 4.3 化学反应的一般原理PPT2
    • 4.4 化学反应的一般原理PPT3
    • 4.5 化学反应的一般原理教学内容PDF
    • 4.6 化学反应的一般原理教学内容PDF习题答案
    • 4.7 化学反应一般原理重难点视频-1
    • 4.8 化学反应一般原理重难点视频-2
    • 4.9 化学反应一般原理重难点视频-3
    • 4.10 化学反应一般原理重难点视频-4
    • 4.11 化学反应一般原理重难点视频-5
    • 4.12 化学反应一般原理作业
    • 4.13 化学反应的一般原理章节测验
    • 4.14 化学反应的一般原理-重难点解析(1)
    • 4.15 化学反应的一般原理-重难点解析(2)
  • 5 第五章 有机化合物绪论
    • 5.1 要点
    • 5.2 有机化合物概论教材
    • 5.3 有机化合物概论PPT
    • 5.4 第五章视频1
    • 5.5 第五章视频2
    • 5.6 第五章补充习题
    • 5.7 第五章部分知识点视频讲解
    • 5.8 第五章教材课后习题视频讲解
    • 5.9 教材课后习题答案
    • 5.10 第五章补充习题讲解
    • 5.11 第五章补充习题答案
  • 6 第六章  脂肪烃
    • 6.1 要点
    • 6.2 脂肪烃教材
    • 6.3 脂肪烃PPT
    • 6.4 上课视频6-1-1
    • 6.5 上课视频6-1-2
    • 6.6 上课视频6-2-1
    • 6.7 上课视频6-2-2/6-3-1
    • 6.8 上课视频6-3-2
    • 6.9 上课视频6-3-3
    • 6.10 上课视频6-4-1
    • 6.11 上课视频6-4-2
    • 6.12 课件练习题
    • 6.13 课件思考题
    • 6.14 脂肪烃补充习题
    • 6.15 烷烃命名视频讲解
    • 6.16 烷烃卤代反应视频讲解
    • 6.17 次序规则和烯烃命名视频讲解
    • 6.18 烯烃化学反应视频讲解
    • 6.19 炔烃反应视频讲解
    • 6.20 教材课后习题视频讲解
    • 6.21 教材课后习题答案
    • 6.22 补充习题录屏讲解
    • 6.23 第六章补充习题答案
  • 7 第七章  芳香烃
    • 7.1 要点
    • 7.2 芳香烃教材
    • 7.3 芳香烃PPT
    • 7.4 上课视频7-1
    • 7.5 上课视频7-2
    • 7.6 上课视频7-3
    • 7.7 上课视频7-4
    • 7.8 芳香烃补充习题
    • 7.9 芳香烃反应视频讲解
    • 7.10 芳香烃教材课后习题视频讲解
    • 7.11 教材课后习题答案
    • 7.12 第七章补充习题讲解
    • 7.13 第七章补充习题答案
  • 8 第八章 立体化学
    • 8.1 要点
    • 8.2 立体化学教材
    • 8.3 立体化学PPT
    • 8.4 上课视频8-1
    • 8.5 上课视频8-2
    • 8.6 上课视频8-3
    • 8.7 立体化学补充习题
    • 8.8 立体化学部分知识视频讲解
    • 8.9 立体化学教材课后习题视频讲解
    • 8.10 教材课后习题答案
    • 8.11 第八章补充习题答案
  • 9 第九章  卤代烃
    • 9.1 要点
    • 9.2 ​卤代烃教材
    • 9.3 卤代烃PPT
    • 9.4 上课视频
    • 9.5 卤代烃补充习题
    • 9.6 卤代烃的部分知识视频讲解
    • 9.7 卤代烃教材课后习题视频讲解1
    • 9.8 卤代烃教材课后习题视频讲解2
    • 9.9 教材课后习题答案
    • 9.10 补充习题答案
    • 9.11 补充习题讲解
  • 10 第十章 醇、酚、醚
    • 10.1 要点
    • 10.2 醇酚醚教材
    • 10.3 醇酚醚PPT
    • 10.4 上课视频
    • 10.5 醇酚醚补充习题
    • 10.6 醇的反应视频讲解
    • 10.7 醚的反应
    • 10.8 酚的反应
    • 10.9 课后习题讲解
    • 10.10 教材课后习题答案
    • 10.11 补充习题答案
    • 10.12 补充习题讲解
  • 11 第十一章 醛和酮
    • 11.1 要点
    • 11.2 醛酮教材
    • 11.3 醛和酮PPT
    • 11.4 上课视频
    • 11.5 醛酮部分知识讲解
    • 11.6 醛酮补充习题
    • 11.7 课后习题讲解
    • 11.8 教材课后习题答案
    • 11.9 补充习题答案
    • 11.10 补充习题讲解
  • 12 第十二章  羧酸、取代羧酸和羧酸衍生物
    • 12.1 要点
    • 12.2 教材
    • 12.3 PPT
    • 12.4 上课视频
    • 12.5 羧酸知识点讲解
    • 12.6 羧酸补充习题
    • 12.7 课后习题讲解
    • 12.8 教材课后习题答案
    • 12.9 补充习题答案
    • 12.10 补充习题讲解
  • 13 第十三章 有机氮化合物
    • 13.1 要点
    • 13.2 教材
    • 13.3 有机含氮化合物PPT
    • 13.4 上课视频
    • 13.5 含氮化合物补充习题
    • 13.6 课后习题讲解
    • 13.7 课后习题答案订正版
    • 13.8 补充习题答案
    • 13.9 补充习题讲解
  • 14 第十四章  杂环化合物
    • 14.1 要点
    • 14.2 教材
    • 14.3 分类和命名
    • 14.4 六元杂环化合物
    • 14.5 五元杂环化合物
    • 14.6 上课视频
    • 14.7 课后习题讲解和部分知识点讲解
    • 14.8 教材课后习题答案
    • 14.9 杂环化合物补充习题
    • 14.10 补充习题答案
    • 14.11 补充习题录屏
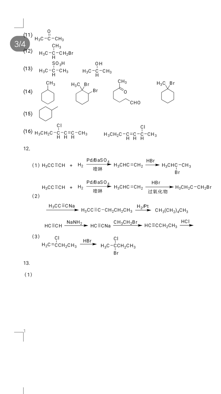
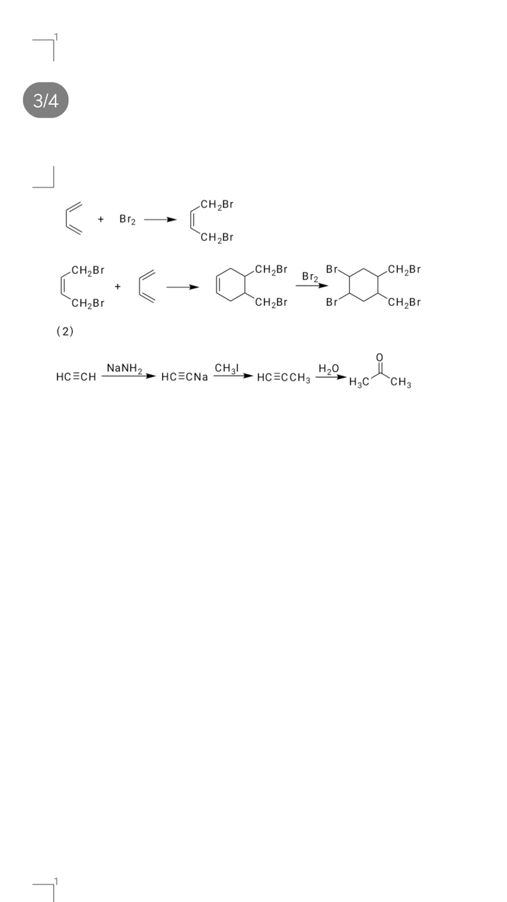
第六章补充习题答案