药事管理学

廖予菲

目录

  • 1 绪论
    • 1.1 准备开展学习
    • 1.2 学习目的
    • 1.3 药事管理概述
    • 1.4 法学基础知识
    • 1.5 行政法相关内容
    • 1.6 本章小结
  • 2 药品与药品管理制度
    • 2.1 学习目的
    • 2.2 药品
    • 2.3 国家基本药物制度
    • 2.4 药品分类管理制度
    • 2.5 基本医疗保障用药管理
    • 2.6 药品不良反应报告和监测管理
    • 2.7 药品召回管理
    • 2.8 本章小结
  • 3 药事组织
    • 3.1 学习目的
    • 3.2 药事组织概述
    • 3.3 药品监督管理组织
    • 3.4 药品生产、经营、使用组织
    • 3.5 药学教育、科研及社会团体组织
    • 3.6 本章小结
  • 4 药学技术人员管理
    • 4.1 教学目的
    • 4.2 药学职业与药师
    • 4.3 执业药师
    • 4.4 药学职业道德
    • 4.5 小结与测试
  • 5 药品管理法
    • 5.1 教学目的
    • 5.2 总则
    • 5.3 药品的研制与注册
    • 5.4 药品上市许可持有人
    • 5.5 药品生产
    • 5.6 药品经营
    • 5.7 医疗机构药事管理
    • 5.8 药品上市后管理
    • 5.9 药品价格和广告
    • 5.10 药品储备和供应
    • 5.11 监督管理
    • 5.12 法律责任
    • 5.13 小结
  • 6 药品注册管理
    • 6.1 教学目的
    • 6.2 药物研究过程
    • 6.3 药物的临床试验
    • 6.4 药品上市许可
    • 6.5 药品注册核查与注册检验
    • 6.6 药品加快上市注册程序
    • 6.7 药品注册的国际标准
    • 6.8 新版本PPT
    • 6.9 小结
  • 7 特殊管理的药品
    • 7.1 教学目的
    • 7.2 特殊管理的药品为什么要特殊管理
    • 7.3 麻醉药品和精神药品的管理
    • 7.4 医疗用毒性药品的管理
    • 7.5 药品类易制毒化学品的管理
    • 7.6 含特殊药品复方制剂的管理
    • 7.7 兴奋剂的管理
    • 7.8 生物制品批签发的管理
    • 7.9 小结
  • 8 中药管理
    • 8.1 教学目的
    • 8.2 中药概述
    • 8.3 中药的管理法规
    • 8.4 中药的经营管理
    • 8.5 中药品种保护
    • 8.6 小结与测试
  • 9 药品知识产权保护
    • 9.1 教学目的和学习任务单
    • 9.2 药品知识产权概述
    • 9.3 药品专利保护
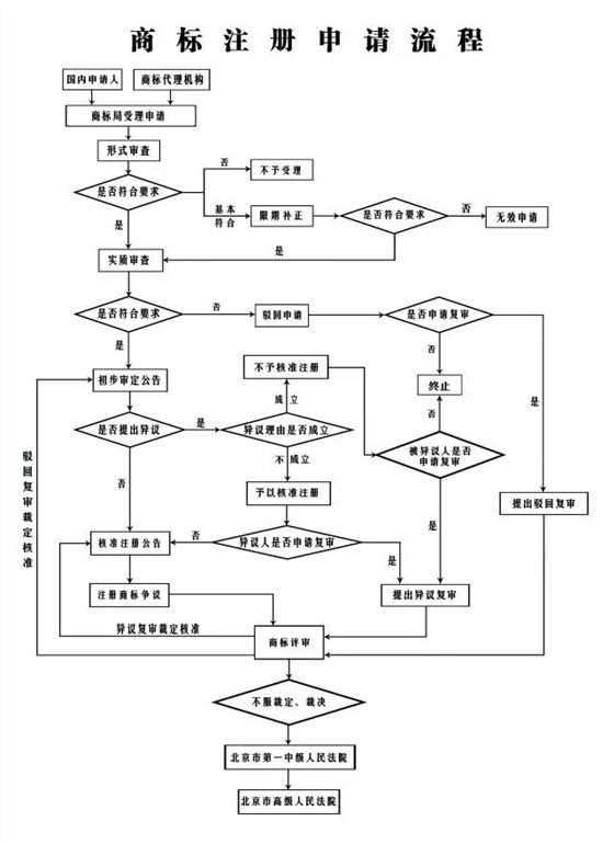
    • 9.4 药品商标保护
    • 9.5 小结
  • 10 药品信息管理
    • 10.1 教学目的
    • 10.2 药品标签管理
    • 10.3 药品说明书管理
    • 10.4 药品广告管理
    • 10.5 小结与测试
  • 11 药品生产监督管理
    • 11.1 教学目的
    • 11.2 药品生产概述
    • 11.3 药品生产监督管理
    • 11.4 药品生产质量管理规范
    • 11.5 小结与测试
  • 12 药品经营监督管理
    • 12.1 教学目的
    • 12.2 药品经营概述
    • 12.3 药品经营企业的管理
    • 12.4 药品经营质量管理规范
    • 12.5 小结
  • 13 医疗机构药事管理
    • 13.1 教学目的
    • 13.2 医疗机构药事管理
    • 13.3 调剂业务和处方管理
    • 13.4 医疗机构制剂管理
    • 13.5 小结与测试
药品商标保护