-
1 内容
-
2 PPT
-
3 视频
欧拉公式的适用范围
压杆处于临界状态时横截面上的平均应力称为压杆的临界应力,压杆的临界应力就是临界力除以原始横截面面积。
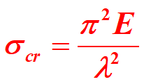
根据细长压杆临界压力的欧拉公式可求得临界应力为
由截面的几何性质
i为截面惯性半径,引入参数

λ称为压杆的柔度或压杆的长细比,它是一个无量钢量,集中反映了压杆的长度、约束条件、截面尺寸、形状对临界应力的影响。
因此临界应力可由下式计算

此式称为压杆临界应力的欧拉公式。欧拉公式导出利用了弯曲变形的微分方程,而材料服从胡克定律是微分方程的基础,因此公式的适用范围是临界应力小于等于材料的比例极限。

求出与比例极限对应的柔度λ1,公式的适用范围可用下式表示。

满足此式的压杆称为细长杆或大柔度杆,这就是欧拉公式的适用范围。需要说明的是λ1也称为第一界限柔度,由公式可知它与材料性质有关,即不同的材料λ1不同。
中柔度杆(中长杆)
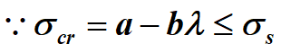
若λ<λ1,临界应力σcr会大于材料的比例极限,欧拉公式已不能适用。属于超过比例极限σp的压杆稳定问题。一般采用直线形式的经验公式。:
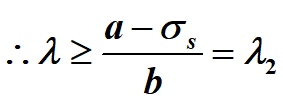
σcr=a-bλ
式中a、b为与材料有关的常数。
经验公式的适用范围是:
sp ≤s ≤ss
前面已经求出与比例极限对应的柔度,即第一界限柔度,下面计算与屈服强度对应的柔度,即第二界限柔度λ2:
![]()

满足 λ2<λ≤λ1的压杆称为中柔杆或中长杆 。
小柔度杆(短粗杆)
当λ≥λ2时,压杆的临界应力已达到材料的屈服强度,这时压杆的失效实际为强度失效,因此 此时的临界应力就等于屈服强度。满足这一条件的压称为小柔度杆或短粗杆。
![]()
临界应力总图
综上所述,临界应力σcr随压杆柔度λ而不同,即不同的柔度,临界应力σcr应按相应的公式来计算。
临界应力σcr随柔度λ变化的图线称为临界应力总图。

需要说明的是,失稳是考虑杆的整体变形,局部削弱(如螺钉孔等)对整体变形影响很小,计算A、I时可忽略削弱的尺寸。

