细长压杆的临界力
-
1 内容
-
2 PPT
-
3 视频
上一节
下一节
两端铰支细长压杆的临界压力
设两端为球铰的细长压杆处于微弯平衡,选取坐标系如图所示,距原点为x的任意截面的挠度为w,弯矩为Fw,当w为正时,M为负,w为负时,M为正,即M与w的符号相反。

M=-Fw
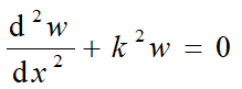
挠曲线近似微分方程

引入 ,则:

微分方程的通解为:w=Asinkx+Bcoskx,A、B为积分常数,由边界条件确定。
当x=0时,w=0,则:B=0;当x=l时,w=0,则: Asinkl=0。
(1)显然A≠0,若A=0,则w=0,杆始终为直线,这与微弯假设前提矛盾。
(2)故只有sinkl=0,于是
kl=0,π,2π,3π……或kl=nπ(n=0,1,2……)
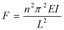
故


由此可见,使曲线保持平衡时,压力为出现多值。使压杆保持微弯平衡时的最小压力即为临界压力,故取n=1,则

此式即为两端铰支细长压杆的欧拉公式。
压杆将绕惯性矩最小的轴弯曲,故公式中I值为最小值。
由w=Asinkx 知挠曲线的形状为正弦曲线 。当当n=1时,为一个半波正弦曲线;当n=2时,为2个半波正弦曲线;当当n=3时,为3个半波正弦曲线。当在高阶临界压力下,压杆变形成2个、3个……半波正弦曲线,其形式是不稳定的,只有当中间有约束时,才能转为稳定。
欧拉公式的应用条件:
(1)理想压杆(轴线为直线、压力与轴线重合、材料均匀);
(2)线弹性范围内;
(3)两端为球铰支座。
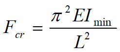
细长压杆临界力欧拉公式的一般形式

μ—长度系数(或约束系数)。μl——相当长度。
一端自由,一端固定: μ=2.0
一端铰支,一端固定: μ=0.7
两端固定: μ=0.5
两端铰支: μ=1.0


