梁的弯曲应变能
-
1 内容
-
2 PPT
-
3 视频
上一节
下一节
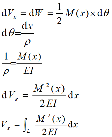
考虑微段梁在弯矩作用下发生弹性变形,弯矩与转角变化成线性关系。

不计剪切应变能,应变能等于外力功。



