积分法求梁的位移
-
1 内容
-
2 PPT
-
3 视频
上一节
下一节
梁的位移计算方法通常有积分法和叠加法,本节介绍积分法,它是梁的位移最基本的求法,也是叠加法的基础。
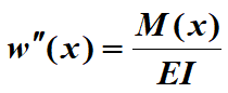
根据挠曲线的近似微分方程

对等直梁而言,EI为常量,于是上式可写成
![]()
积分可得转角方程,再积分可得挠曲线方程


式中C、D为积分常数,可由边界条件及光滑连续条件确定。
边界条件(支座条件)
在挠曲线的某些点上,挠度或转角已知的条件称为边界条件。

光滑连续条件
挠曲线是一条光滑连续的曲线,在挠曲线的任一点上有唯一确定的挠度和转角,称为光滑连续条件。

讨论:
①积分法适用于小变形情况下、线弹性材料、平面弯曲。
②可应用于求解承受各种载荷的等截面或变截面梁的位移。
③积分常数由挠曲线变形的位移边界条件确定。
支座条件
连续条件
光滑条件
④优点:使用范围广,直接求出挠曲线的精确解;基本方法。
缺点:计算较繁。

