梁的挠曲线近似微分方程
-
1 内容
-
2 PPT
-
3 视频
上一节
下一节
基本概念
以简支梁为例,以变形前的轴线为x轴,垂直向上为y轴,xoy平面为梁的纵向对称面。
①挠曲线:
在对称弯曲情况下,变形后梁的轴线为xoy平面内的一条光滑连续的平面曲线,此曲线称为挠曲线。
②挠度:
梁的任一截面形心的竖直位移称为挠度。
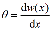
③挠曲线方程:w=f(x)
④转角:弯曲变形中,梁的横截面对其原来位置转过的角度θ,称为截面转角。
根据平面假设,梁的横截面变形前,垂直于轴线,变形后垂直于挠曲线。故转角为挠曲线的法线与y轴的夹角,也等于挠曲线的切线与x轴的夹角。挠度与转角的关系为

小变形情况下

⑤挠度w和转角θ是度量弯曲变形的两个基本量。
⑥挠度与转角符号规定:在图示坐标中,挠度向上为正,反时针的转角为正。
梁的挠曲线近似微分方程
对于图示简支梁,考虑dx 微段的变形。

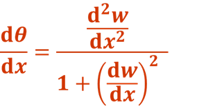
根据平面弯曲梁变形的基本公式







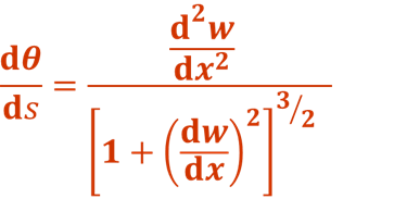
此式即为挠曲线的微分方程,适用于弯曲变形的任意情况,它是非线性的。在小变形的情况下,梁的挠度w一般都远小于跨度,挠曲线w=f(x)是一非常平坦的曲线,转角θ也是一个非常小的角度,于是

故可得

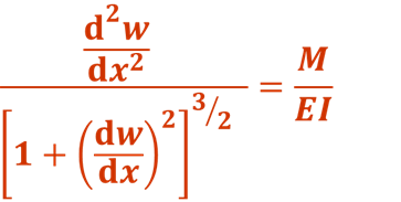
此式为挠曲线的近似微分方程。
在图示坐标系内,若弯矩M为正,则挠曲线向下凸,有极小值,挠度的二阶导数亦为正值。若弯矩M为负,则挠曲线向上凸,有极大值,挠度的二阶导数亦为负值。


