梁横截面上的切应力
-
1 内容
-
2 PPT
-
3 视频
上一节
下一节
切应力的分布规律与梁的横截面形状有关,因此以梁的横截面形状不同分别加以讨论。
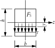
1.矩形截面梁

(1)切应力的分布规律
两点假设:
切应力与剪力平行;
距中性轴等距离处,切应力相等。

当h>b时,按上述假设得到的解答与精确解相比有足够的准确度。
(2)切应力沿截面高度的变化规律

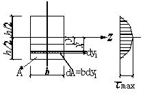
①从梁中取出dx段,而微段上无载荷作用。
②截面上的σ和τ的分布如图。
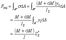
③研究微块的平衡



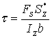
式中:为离中性轴为y的横线以下面积对中性轴之静矩。
考虑到微块顶面上相切的内力系的合力



由切应力互等定理,横截面上pq线处切应力为

这就是矩形截面梁弯曲切应力计算公式。
④讨论:
a. 横力弯曲下梁的纵向纤维层之间存在切应力。
b. 矩形截面切应力沿高度的变化规律如图。

说明切应力τ沿截面高度按抛物线规律变化。
c. 最大切应力发生中性轴上。

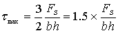
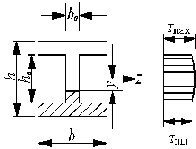
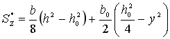
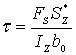
2.工字形截面梁
(1)计算表明:截面上剪力FS的95~97%由腹板承担,故只考虑腹板上的切应力分布规律,而腹板是一个狭长矩形,矩形截面切应力两个假设均适用(τ方向与FS一致,设宽度均布),采用矩形截面方法可得:
式中:

以y=0,代入上式得
∵b0<<b
∴τmax≈τmin
于是近似认为
(2)翼缘中切应力分布比较复杂,且数量很小,无实际意义,不予讨论。
(3)工字梁翼缘的全部面都距中性轴较远,每一点的正应力都很大,所以工字梁的最大特点是,用翼缘承担大部分弯矩,腹板承担大部分剪力。
3.圆形及圆环形截面梁
(1)圆形截面

在中性轴上

(2)圆环形截面



