-
1 内容
-
2 PPT
-
3 视频
一、纯弯曲时的正应力
图示梁中间段只有弯矩没有剪力,称为纯弯曲。两端即有剪力以有弯矩称为横力弯曲(剪切弯曲)。

变形观察:


变形前的直线aa、bb变形后成为曲线a'a'、b'b',变形前的直线mm、nn变形后仍为直线m'm'、n'n',然而却相对转过了一个角度,且仍与a'a'、b'b'曲线相垂直。
假设
(1)平截面假设
变形前为平面的横截面变形后仍为平面,且仍垂直于变形后梁的轴线。
(2)纵向纤维互不挤压假设
设想梁是由平行于轴线的众多纤维组成。在纯弯曲过程中各纤维之间互不挤压,只发生伸长和缩短变形。
中性层与中性轴
显然,凸边一侧的纤维发生伸长,凹边一侧的纤维缩短。由平截面假设和连续性假设,纤维由伸长变为缩短,连续变化,中间一定有一层纤维称既不伸长,也不缩短,这一层纤维为中性层。中性层与横截面的交线称为中性轴,由于整体变形的对称性,中性轴由与纵向对称面垂直。可以证明,中性轴为形心主轴。

正应力分布规律
(1)变形几何关系

取dx微段来研究,竖直对称轴为y轴,中性轴为z轴,距中性层为y的任一纤维bb的线应变。

(2)物理关系
因为纵向纤维之间无正应力,每一纤维都是单向拉伸或者单向压缩,当应力小于比例极限时,由胡克定律

得:

此式表明:任意纵向纤维的正应力与它到中性层的距离成正比。在横截面上,任意点的正应力与该点到中性轴的距离成正比。亦即沿截面高度,正应力按直线规律变化。

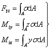
(3)静力关系

横截面上的微内力σdA组成垂直于横截面的空间平行力学。这一力系可能简化为三个内力分量:
横截面上的内力与截面左侧的外力必须平衡。在纯弯曲情况下,截面左侧的外力只有对z轴的力偶矩Me。由于内外力必须满足平衡方程,故:


结论:z轴(中性轴)通过形心。



结论:y轴为对称轴,上式自然满足。




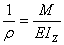
式中1/ρ为梁轴线变形后的曲率,称为梁的抗弯刚度。
由曲率公式代入物理关系中得:
此式即为纯弯曲时梁的正应力计算公式。
讨论:
(1)导出公式时用了矩形截面,但未涉及任何矩形的几何特性,因此,公式具有普遍性。
(2)只要梁有一纵向对称面,且载荷作用于对称面内,公式都适用。
(3)横截上任一点处的应力是拉应力还是压应力可直接判定,不需用y坐标的正负来判定。
二、横力弯曲(剪切弯曲)时的正应力
纯弯曲正应力公式可推广应用于横力弯曲
讨论:公式的适用条件
(1)平面弯曲
(2)纯弯曲或l/h≥5的横力弯曲(σ,τ)
(3)应力小于比例极限。
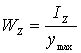
最大正应力

引入记号:


Wz——抗弯截面系数(m3)
讨论:
(1) 等直梁而言σmax发生在最大弯矩断面,距中性轴最远处ymax。
(2)对于变截面梁不应只注意最大弯矩Mmax截面,而应综合考虑弯矩和抗弯截面系数Wz两个因素。

