材料力学

赵彬

目录

  • 1 绪论
    • 1.1 教学目标
    • 1.2 材料力学的研究对象
    • 1.3 材料力学的任务
    • 1.4 变形固体的基本假设
    • 1.5 材料力学的基本概念
    • 1.6 杆件变形的基本形式
    • 1.7 材料力学研究问题的方法
    • 1.8 本章测验
  • 2 拉伸和压缩
    • 2.1 教学目标
    • 2.2 轴向拉压的概念及实例
    • 2.3 拉压时的内力、应力
    • 2.4 材料在拉伸和压缩时的力学性能
    • 2.5 拉压杆的强度条件
    • 2.6 拉压杆的变形
    • 2.7 拉压超静定问题
    • 2.8 拉压杆的弹性应变能
    • 2.9 应力集中的概念
    • 2.10 本章测验
  • 3 剪切
    • 3.1 教学目标
    • 3.2 剪切与挤压的实用计算
    • 3.3 薄壁圆筒的扭转
    • 3.4 切应力互等定理
    • 3.5 剪切应变能
    • 3.6 本章测试
  • 4 扭转
    • 4.1 教学目标
    • 4.2 扭转的概念和实例
    • 4.3 外力偶矩、扭矩和扭矩图
    • 4.4 圆轴扭转时的应力、强度条件
    • 4.5 圆轴扭转时的变形、刚度条件
    • 4.6 矩形截面杆扭转理论简介
    • 4.7 本章测验
  • 5 弯曲内力
    • 5.1 教学目标
    • 5.2 平面弯曲的概念及梁的计算简图
    • 5.3 梁的剪力和弯矩
    • 5.4 剪力方程和弯矩方程 ·剪力图和弯矩图
    • 5.5 剪力、弯矩与分布荷载集度间的关系及应用
    • 5.6 平面刚架和曲杆的内力图*
    • 5.7 本章测验
  • 6 弯曲应力
    • 6.1 教学目标
    • 6.2 平面弯曲时梁横截面上的正应力
    • 6.3 梁横截面上的切应力
    • 6.4 梁的正应力和切应力强度条件
    • 6.5 提高梁强度的措施
    • 6.6 本章测验
  • 7 弯曲变形
    • 7.1 教学目标
    • 7.2 梁的挠曲线近似微分方程
    • 7.3 积分法求梁的位移
    • 7.4 叠加法求梁的位移
    • 7.5 梁的刚度校核
    • 7.6 梁的弯曲应变能
    • 7.7 简单超静定梁的解法
    • 7.8 提高梁弯曲刚度的措施
    • 7.9 本章测验
  • 8 应力状态分析 强度理论
    • 8.1 教学目标
    • 8.2 应力状态的概念
    • 8.3 平面应力状态分析——解析法
    • 8.4 平面应力状态分析——应力圆法
    • 8.5 空间应力状态简介
    • 8.6 平面应变状态分析
    • 8.7 广义胡克定律
    • 8.8 复杂应力状态下的变形比能
    • 8.9 强度理论及应用
    • 8.10 本章测验
  • 9 组合变形
    • 9.1 教学目标
    • 9.2 组合变形与叠加原理
    • 9.3 斜弯曲
    • 9.4 拉(压)弯组合  偏心拉伸(压缩)
    • 9.5 弯曲与扭转组合
    • 9.6 本章测验
  • 10 压杆稳定
    • 10.1 教学目标
    • 10.2 压杆稳定的基本概念
    • 10.3 细长压杆的临界力
    • 10.4 压杆的临界应力
    • 10.5 压杆的稳定计算
    • 10.6 本章测验
  • 11 动载荷
    • 11.1 教学目标
    • 11.2 动载荷
    • 11.3 本章测验
  • 12 交变应力
    • 12.1 教学目标
    • 12.2 交变应力
    • 12.3 本章测验
  • 13 平面图形的几何性质
    • 13.1 教学目标
    • 13.2 静矩与形心
    • 13.3 惯性矩、极惯性矩、惯性积
    • 13.4 惯性矩的平行移轴公式
    • 13.5 本章测验
  • 14 材料力学实验
    • 14.1 教学目标
    • 14.2 金属材料的拉伸实验
    • 14.3 金属材料的压缩实验
    • 14.4 弯曲正应力实验
    • 14.5 实验报告
    • 14.6 本章测验
  • 15 附录
    • 15.1 参考教材(吕建国)
    • 15.2 123章测验题讲解
    • 15.3 材料力学总结
梁的剪力和弯矩
  • 1 内容
  • 2 PPT
  • 3 视频

一、弯曲内力

如图,Fal。求:距Ax处截面上内力。

解:①求约束反力    

     

   ②求内力——截面法 

  

1. 弯矩:M

     构件受弯时,横截面上其作用面垂直于截面的内力偶矩。

2. 剪力: FS

     构件受弯时,横截面上其作用线平行于截面的内力。

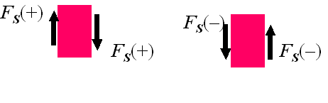
3.内力的正负规定:

  ①剪力FS:  绕研究对象顺时针转为正剪力;反之为负。 

 

  ②弯矩M:使梁变成凹形的为正弯矩;使梁变成凸形的为负弯矩。

、内力的直接求法

求任意截面A上的内力时,以 A截面左侧部分为研究对象,内力计算式如下。

其中Fi 、 Fj 分别为截面A左侧的所有向上、向下的外力。即“左上右下,剪力为正;左顺右逆,弯矩为正。”