拉压杆的弹性应变能
-
1 内容
-
2 PPT
-
3 视频
上一节
下一节
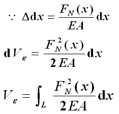
一、弹性应变能
杆件发生弹性变形,外力功转变为变形能贮存于杆内,这种能称为应变能(Strain Energy)用“Ve”表示。
二、拉压杆的应变能计算

图示微段受轴力作用,产生微小变形,在弹性范围内,外力的功为

不计能量损耗时,外力功等于应变能。

内力为分段常量时:

三、拉压杆的比能
单位体积内的应变能称为比能,用 νe表示。


