拉压杆的变形
-
1 内容
-
2 PPT
-
3 视频
上一节
下一节
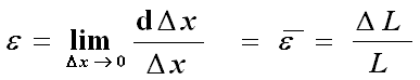
一、拉压杆的变形及应变

1、杆的纵向总变形:
![]()
2、线应变:单位长度的线变形。
平均线应变:

x点处的纵向线应变:

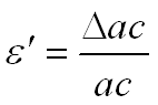
3、杆的横向变形:
![]()
4、x点处的横向线应变:

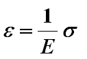
二、胡克定律

E:材料的弹性模量,“EA”称为杆的抗拉(压)刚度。
使用条件:等截面直杆、外力(外力的合力)作用线与杆件轴线重合、弹性范围内。
内力连续变化时:

内力分段变化时:

单向应力状态下的胡克定律:

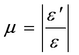
泊松比(或横向变形系数):

三、 利用变形求位移
小变形放大图与位移的求法。

求各杆的变形量△Li ,如图;
变形图严格画法,图中弧线;
变形图近似画法,图中弧之切线。

