考试要求
上一节
下一节
(考试形式:个人上机考试,45分钟内完成仿真,学习通上传程序截图)

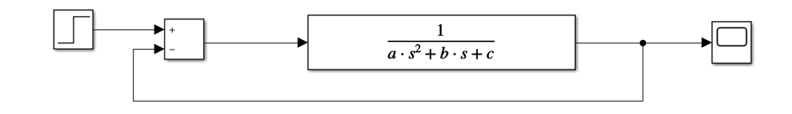
已知单位负反馈系统如图所示,其中a为班级,b和c为学号后2位。例如:3班47号,a=3,b=4,c=7。
(1)求出系统的单位阶跃响应曲线。
(2)在曲线上显示t=[0,20]区间中的最大值点。
(3)给图添加图名“班级+学号”。
(4)请上传Simulink建模图,并附上传递函数模块的设置界面。

