实验四 符号计算
上一节
下一节
一、实验目的:
掌握符号对象的建立和运算;
掌握符号函数的极限、倒数和积分;
掌握函数句柄、符号函数绘图的方式。
二、实验平台:
MATLAB R2020a(填写自己软件的版本)。
三、实验要求及步骤:
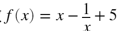
任务一:已知函数

用fplot绘制函数在的曲线,并绘制一条过坐标0点的横线。
任务二:已知函数为

1、用符号函数求的导数
2、当L=0.2时,求出y和导数dy表达式。
3、当L=0.2时,用fplot绘制曲线y和导数曲线dy,并添加相应的图例。
4、求出上述曲线y和dy在[0,20]区间中的最小值坐标,并在图中用红色*显示最小点及其坐标值。
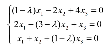
任务三:
1、已知
,求倒数
提示:
dyx1=dy/dx
dyx2=diff(dyx1)/dx
2、求积分

3、当λ取何值时,以下齐次线性方程组有非零解。(提示:n元齐次线性方程组有非零解的充要条件是其系数行列式为零,行列式用det求)


