实验五 Simulink仿真基础
上一节
下一节
实验五 Simulink 建模与仿真1
连续系统和离散系统的建模与仿真
1、


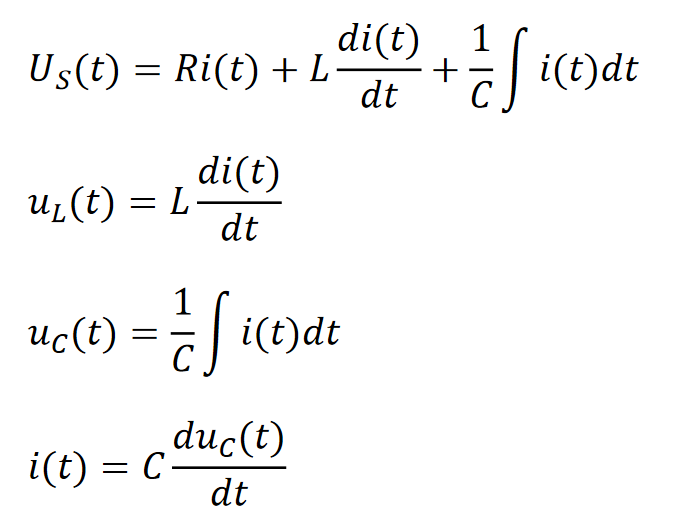
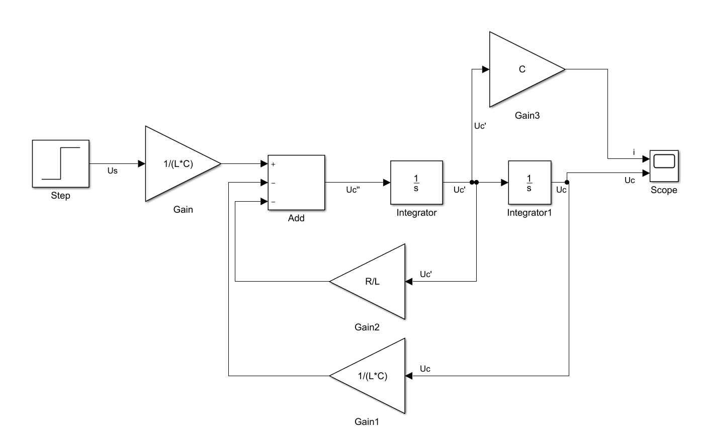
RLC电路图中R=14Ω,L=2.5H,C=0.22F,假设初始状态均为零。 t=0时刻加入1V电压,试求回路中流过的电流i(t) 和电容的端电压Uc(t)的波形曲线。
要求:
用两种模型方法对其仿真。
( Simulink的电路系统、Simulink的连续系统)
贴上相应的仿真模型图和结果曲线图。

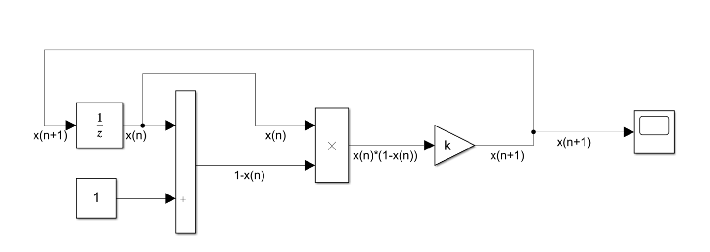
2、故事背景:

模型简化:

生殖增长率:K∈[0,4], 虫口数:X∈[0,1]

请用Simulink建模,并结合M文件编程,绘制曲线图,并探讨虫口数量变化趋势:
(1)K=0.5 , X0分别取0.1、0.4、0.7时的曲线图。并观察说明此时,虫口数量变化。

(2)K=2,X0分别取0.1、0.4、0.7时的曲线图,并观察说明此时,虫口数量变化。
(3)K=3.25,X0分别取0.1、0.4、0.7时的曲线图,并观察说明此时,虫口数量变化。
(4)K=3.8,X0分别取0.1、0.4、0.7时的曲线图,并观察说明此时,虫口数量变化。


