11.3 社会网络的基本原则
上一节
下一节
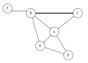
在社交网络中,网络如何随着时间的推移而演变? 我们可以通过一条基本原则:“在一个社交圈内,如果两个人有共同的朋友,则这两人在未来成为朋友的可能性就会提高”。这条原则称之为“三元闭包”原则。这条原则从直观上也能很好理解,几乎所有人都能从自己的生活经历中找到相关的例子。当B和C有一个共同的朋友 A,他们成为朋友的几率就会增加。原因之一在于,他们和A的关系,直接导致他们彼此见面的几率增加:如果 A 花时间同时与B和C在一起,则B和C很可能因此认识彼此,并成为朋友。另一个相关的原因是,在友谊形成的过程中,B和C都和A是朋友的事实(假定他们都知道这一点)为他们提供了陌生人之间所缺乏的基本信任。第三个原因是基于A有将B和C撮合成朋友的动机:如果A同时和B和C都是朋友,则如果 B 和 C 不是朋友的事实可能成为A与B和C友谊的潜在压力。而三元闭包的意思,就是当有A-C, A-B的两条边,社交网络会通过实践的推移而产生B-C的这条边,从而形成A-B-C的闭包形态, 如下图所示:

(a) B-C 边形成之前

(b) B-C边形成后

