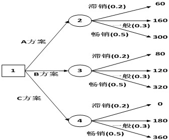
1、某企业下年度为了生产某产品,有A、B、C三种方案可供选择,每种方案都面临滞销、一般和畅销三种市场状态的概率和收益值如下表所示,请用决策树法选择最佳方案。

【解题分析】:
本题考核的要点是决策树的定量决策方法,这类题第一步需要根据题干画出决策树,第二步根据决策树计算各方案的期望值,第三步根据期望值进行方案选择。过程如下:
①做出决策树

②计算各方案的期望值
结点2=0.2×60+0.3×160+0.5×300=12+48+150=210(万元)
结点3=0.2×80+0.3×120+0.5×320=16+36+160=212(万元)
结点4=0.2×0+0.3×180+0.5×360=0+54+180=234(万元)
比较方案,做出决策
③根据各方案期望值大小进行评价,方案C可选为决策方案。
2、某公司拟生产某一新产品,生产该产品有A、B、C、三种方案,产品销路有销路好、销路一般、销路较差和销路很差四种情况。各方案不同情况下的收益如下表所示:

(1)按乐观准则,应选哪一种方案?
(2)按悲观准则,应选哪一种方案?
(3)按折衷准则,应选哪一种方案?(折衷系数为0.5)
(4)按机会均等准则,应选哪一种方案?
(5)按后悔值准则,应选哪一种方案?
【解题分析】:
本题考核的要点是不同决策准则的决策方法。第一步需要明确各种准则的决策思路,其中:乐观准则为“大中取大”;悲观准则为“小中取大”;折衷准则为先用这种系数计算各方案期望收益值(期望收益值=最大值×折衷系数+最小值×(1-折衷系数)),再从期望收益值中选则最大的;机会均等准则为先计算各方案的平均值,再从平均值中选最大的;后悔值准则为先计算后悔值矩阵(计算方法是用各种情况下的最大收益值为标准值,用该标准值减去该情况下各方案的收益值),然后找出各方案的最大后悔值,从最大后悔值中选择最小的。第二步按照决策思路决策。过程如下:
(1)按乐观准则
根据乐观准则,选取A=190、B=140、C=160为各方案的收益值,则最终确定收益值最大的A方案为决策方案。
(2)按悲观准则
根据悲观准则,选取A=-24、B=-10、C=10为各方案的收益值,则最终确定收益值最大的C方案为决策方案。
(3)按折衷准则
按折衷系数0.5计算
A方案的期望收益=0.5×190+0.5×(-30)=80
B方案的期望收益=0.5×140+0.5×(-10)=65
C方案的期望收益=0.5×160+0.5×10=85
根据各方案收益值,C方案为最终决策方案。
(4)按机会均等准则
各方案受益如下表:

根据上表,按机会均等准则,C方案为最终决策方案。
(5)按后悔值准则
构造后悔值矩阵:

根据上表,按最小最大后悔值准则,C方案为最终决策方案。

