氧化还原平衡
上一节
下一节
氧化还原平衡
氧化还原反应特点


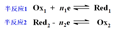
• 实质:基于电子的转移。氧化还原反应中电子得失平衡。
• 特点:1)机理复杂、多步反应;
2)有的反应进行程度虽高但速度很慢;
3)有的伴有副反应而无明确的计量关系。
• 用于氧化还原滴定的反应需具有一定的条件。
本小节微课
本小节微课包含在6.1微课视频中。

