气动执行元件是将压缩空气的压力能转变为机械能的元件,它驱动机构做往复直线运动、往复摆动或回转运动。气动执行元件包括气缸和气马达。我们主要介绍气缸。
按压缩空气对活塞端面作用力的方向:单作用气缸、双作用气缸。
按气缸的结构特征分:活塞式气缸、薄膜式气缸、伸缩式气缸。
按气缸的安装形式分:固定式气缸、轴销式气缸、回转式气缸、嵌入式气缸。
按气缸的功能分:普通气缸、缓冲气缸、气—液阻尼缸、摆动气缸、冲击气缸等。
气缸的工作特性:气缸的输出力、气缸内的压力变化、气缸的运动速度等静态和动态特性,由于影响因素很多,很多问题尚在研究之中,因此在此仅做简单介绍。
双作用气缸活塞上输出的推力计算公式如下:
![]()
式中η为气缸的效率,一般取
气缸通常被活塞分成进气腔和排气腔,当向进气腔输入压缩空气时,排气腔处于排气状态。当两腔压力差刚好克服负载时,活塞开始运动,进气腔压力逐渐升高至气源压力,排气腔压力逐渐降低。进、排气腔中气体压力随时间变化曲线称为气缸的压力特性曲线,如图12-2所示。

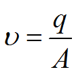
气缸活塞两侧压力的变化比较复杂,因而推动活塞的力的变化也较为复杂,再加上气体的可压缩性,要是气缸保持准确的运动速度是比较困难的。通常气缸的平均运动速度可按进气量的大小计算,即:
![]()
气缸在一般工作条件下,平均速度约为0.5m/s。
气缸的耗气量与气缸的活塞直径D、活塞缸直径d、活塞行程L以及单位时间往复次数N有关。
耗气量的计算公式参见书中228页的公式(12-8)和式(12-9)。
(一)气缸的主要尺寸计算
直径、行程、进排气口的直径等。
(二)气缸的主要结构设计
气缸筒的结构尺寸设计、活塞的结构设计、活塞杆及其强度校核、缓冲机构设计、其他结构设计等。

由气缸和液压缸共同组成的。它以压缩空气为能源,利用液压油的不可压缩性和对油液流量的控制,使活塞获得稳定的运动,并可调节活塞的运动速度。
与气缸相比,它传动平稳,停位精确,噪声小;与液压相比,经济性好。兼具气动和液动的优点,应用越来越广泛。

由膜片和中间硬芯相连代替普通气缸的活塞;依靠膜片在气压作用下的变形来使活塞杆前进。活塞位移较小,一般小于40mm。
结构紧凑、自重小、维修方便、密封好、成本低,广泛应用在化工生产过程中的调节器上。


结构:包含头腔,尾腔和储能腔三个工作腔,具有一个带喷嘴和排气小孔的中盖。
功能:提供较大冲击力。
冲击气缸的工作原理与过程


