节流调速回路的速度负载特性、最大承载能力、功率和效率的分析及计算


如图a所示,节流阀和溢流阀相当于两个并联的液阻(可类比于电阻),液压泵输出流量qp不变,流经节流阀进入液压缸的流量q1和流经溢流阀的流量qy的大小,由节流阀和溢流阀液阻的相对大小来决定。
若节流阀的液阻大于溢流阀的液阻,则q1<qy;反之则q1>qy。节流阀是一种可以在较大范围内以改变液阻来调节流量的元件。因此,可以通过调节节流阀的液阻,来改变进入液压缸的流量,从而调节液压缸的运动速度。
但若在回路中仅有节流阀而没有与之并联的溢流阀,如图b所示,则节流阀就起不到调节流量的作用。液压泵输出的液压油全部经节流阀进入液压缸。改变节流阀节流口的大小,只是改变液流流经节流阀的压力降(节流阀两端的压差)。
节流口小,流速快;节流口大,流速慢,而总的流量是不变的,因此液压缸的运动速度不变。
所以,节流元件用来调节流量是有条件的:即要求有一个接受节流元件压力信号的环节(与之并联的溢流阀或恒压变量泵),如a图和b图所示。

在液压传动系统中节流元件与溢流阀并联于液压泵的出口,构成恒压油源,使泵出口的压力恒定。(即泵的供油压力Pp等于溢流阀的调整压力Ps)

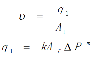
在回路中调速元件的调定值AT不变的情况下,负载变化所引起速度变化的性能。
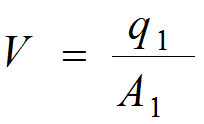
如图所示,因为液压缸的运动速度:

所以:

式中:pp为液压泵的供油压力,p1为液压缸进油腔的压力。
速度负载特性方程:


按速度负载特性方程选不同的AT值作V-F坐标曲线图,可得一组曲线,即为该回路的速度负载特性曲线。

速度负载特性曲线表明液压缸运动速度随负载变化的规律,曲线越陡。说明负载变化对速度的影响越大,即速度刚度差。
讨论:

由方程可知,液压缸的运动速度与节流阀通流面积AT成正比,当节流阀通流面积AT一定时,液压缸的运动速度随着负载F增加而减小,这种调速回路的速度负载特性较“软”。
当节流阀通流面积AT不变时,(以AT1那条曲线为例)负载越小,曲线越平缓,也就是在这个阶段负载变化对速度的影响比较小,即速度刚度越大,因此,此回路在轻载情况下速度稳定性较好。

负载F一定时,例如F1,图中AT1﹥AT2﹥AT3,从图中可以观察到,节流阀通流面积AT越小,则速度刚度越大,即在低速情况下速度稳定性较好。
由方程可知:

V=0时,F最大,
所以,Fmax= PpA1
液压泵的输出功率:Pp = ppqp
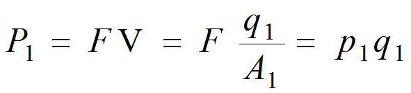
液压缸的输出功率:P1 = FV
因为:

所以,液压缸的输出功率:

(p1为进油腔的压力,q1为进油腔流量)
回路功率损失为:
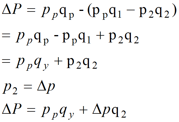
ΔP=Pp-P1=ppqp-p1q1
=pp(q1+qY)―(pp―Δp)q1
=ppqY+Δpq1
该回路功率损失由两部分组成:即溢流损失ppqY和节流损失Δpq1
回路的效率ηc:

结论:进油节流调速回路适用于轻载、低速、负载变化不大和对速度稳定性要求不高的小功率液压系统。

(回油节流调速回路)

(进油节流调速回路)

进油节流调速回路与回油节流调速回路的速度负载特性和刚度基本相同。
由方程可知:

V=0时,F最大,
所以,Fmax= PpA1
回油节流调速回路的最大承载能力与进油节流调速回路的情况相同。
液压泵的输出功率:Pp = ppqp -(1)
液压缸的输出功率:P1 = FV
因为:
![]()
所以,液压缸的输出功率:
-(2)
回路的功率损失为:
![]()
将Pp和P1分别带入,可得:

该回路功率损失由两部分组成:即溢流损失ppqY和节流损失Δpq2
回路的效率:


比较这两个回路的效率:


当使用同一个液压缸和同一个节流阀,而负载F和活塞运动速度相同时,则以上两式是相同的,因此可以认为进油节流调速回路的效率和回油节流调速回路的效率相同。
但是,在回油节流调速回路中,液压缸工作腔和回油腔的压力都比进油节流调速回路高,特别是在负载变化大,尤其是当F=0时,因为:
![]()
并且A1﹥A2,所以,回油腔的背压P2有可能比液压泵的供油压力Pp还要高,这样会使节流功率损失大大提高,且加大泄漏,因而其效率实际上比进油节流调速回路要低。

如图可知:进入液压缸的流量为泵的流量与节流阀溢走的流量之差,即:

因该回路中泵的工作压力随负载而变化,泵的泄漏量正比于压力(前两个回路中为常量),所以,液压泵的输出流量qp不为常量,即:

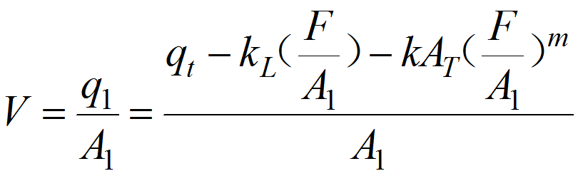
式中qt为泵的理论流量∆qp为泵的泄漏量。所以:
—(1)
因泵的泄漏量与工作压力有关,由力平衡方程可知:
![]()
由于回油腔直通油箱,所以
![]()
计算得:

由于:
![]()
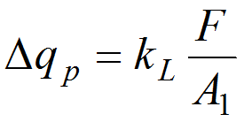
泵的泄漏量:

式中kL为泵的泄漏系数。
而(1)式中的∆p(节流阀两端的压差),由于回油腔直通油箱,所以,
![]()
因此:

所以,液压缸的速度负载特性为:

根据该方程选取不同的AT值可作出一组速度负载特性曲线,如图所示:

由曲线可知:
在节流阀通流面积AT不变的情况下,液压缸的速度因负载增大而显著减小,其速度负载特性比进、回油节流调速更软。

在节流阀通流面积AT不变的情况下,负载越大,曲线越平缓,即速度刚度越大。
当负载F一定时,节流阀通流面积AT越小(即活塞运动速度越高),速度刚度越大。
因此,该回路适用于高速重载的场合
由曲线可知,最大承载能力随着节流阀通流面积AT增大而减小。因此,低速时承载能力很差,调速范围也小
只有节流损失,没有溢流损失,比前两种调速回路功率损失小,效率较高。
结论:旁路节流调速回路的速度负载特性较差,调速范围小,但效率较高,一般用于高速、重载、对速度稳定性要求不高和功率较大的液压系统。

