液压缸:将液压能转换为机械能(执行元件),用来驱动工作机构作直线运动(移动液压缸)或摆动运动(摆动液压缸、摆动液压马达)。
活塞缸:实现往复运动,输出推力和速度。
柱塞缸:实现往复运动,输出推力和速度。
摆动缸:实现小于360度的往复摆动,输出转矩和角速度。
双作用式:两腔均能进出压力油,活塞(缸体)能作正、反两个方向移动的液压缸。
单作用式:只有一腔能进出压力油,活塞(缸体)只能依靠液压力作单向运动,回程需借助自重/外力的液压缸。
液压缸可以单个使用,也可以几个组合起来或和其他机构组合起来,以实现特殊的功用。
活塞式液压缸根据使用要求不同分为:双杆式、单杆式。
双杆式活塞缸
活塞两端都有一根直径相等的活塞杆伸出。根据安装方式不同又可以分为:缸筒固定式、活塞杆固定式。

工作原理
如a图所示,当活塞的有效行程为L时,整个工作台的运动范围为3L,机床占地面积大,一般适用于小型机床。
如b图所示,当活塞的有效行程为L时,整个工作台的运动范围为2L,机床占地面积小,一般适用于工作台行程较长的机床。


特点和应用
当两活塞杆直径相同、缸两腔的供油压力和流量都相等时,活塞(或缸体)两个方向的推力和运动速度也都相等,适用于要求往复运动速度和输出力相同的工况。
单杆式活塞缸
活塞只有一端带活塞杆
单杆活塞式液压缸形式
缸体固定式、活塞杆固定式
(工作台的移动范围均为活塞有效行程的两倍)
单杆活塞式液压缸工作时可以:
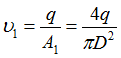
油液从无杆腔进入
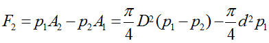
油液从有杆腔进入
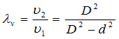
油液从两油腔同时进入(差动连接)

工作原理







活塞杆直径的大小与活塞两个方向的速度差有直接关系。
特点和应用
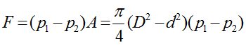
供油压力和流量不变时,活塞在两个方向的运动速度和输出推力皆不相等。
由于A1>A2,故F1>F2,V1<V2,即活塞杆伸出时,推力较大,速度较小;活塞杆缩回时,推力较小,速度较大。
因而它适用于伸出时承受工作载荷,缩回时为空载或轻载的场合。
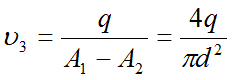
单杆活塞缸的两腔同时通入压力油的油路连接方式称为差动连接,作差动连接的单杆活塞缸称为差动液压缸。


差动连接时实际起有效作用的面积是活塞杆的横截面积。
在输入油液压力和流量相同的条件下,活塞运动速度较大而推力较小,广泛用于组合机床的液压动力滑台和其它机械设备的快速运动中 。
要使活塞往返运动速度相等,V2=V3,请问A1、A2之间应该满足什么的关系?(答案:A1=2A2)

